Transit Board Decision Making

Despite its primary role in shaping policy and service characteristics, transit board governance is an understudied topic in the field of urban transit. Work by TransitCenter has highlighted a disparity between the racial and gender compositions of transit boards and transit riders, where women and people of color are underrepresented on transit boards, but the consequences of this underrepresentation is unclear.
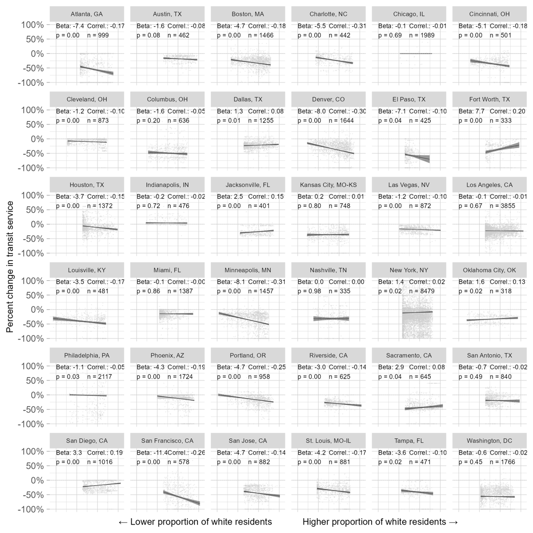
Our preliminary analysis of changes to transit service during the early months of the COVID-19 pandemic suggest a relationship between greater representation of women on transit boards and the equitable distribution of service changes during this period of crisis. In contrast, we did not find a relationship between the racial composition of transit boards and the spatial distribution of early pandemic service changes Several alternative explanations for these findings are possible, and determining the most likely explanation requires a better understanding of the ways in which transit board members’ values may be reflected in transit service planning.

We are conducting a series of semi-structured interviews with transit board members and senior agency staff at several medium-sized transit agencies in the United States. The results of these interviews will allow us to better theorize how the perspectives of individual board members shape board decisions, and how those decisions in turn shape the experiences of transit passengers.

Related publications
(under review) Voulgaris, C.T., R.S. Ray, L.A. Fischer. 2024. Transit Board Diversity and Pandemic Service Cuts in Vulnerable Communities. Transportation Research Record: Journal of the Transportation Research Board.
Related conference presentations
Voulgaris, C.T., R.S. Ray, L.A. Fischer. 2024. Transit Board Diversity and Pandemic Service Cuts in Vulnerable Communities. 103rd Annual Meeting of the Transportation Research Board. Washington, DC. January 2024
Voulgaris, C.T., L.A. Fischer, R.S. Ray. 2024. Transit Board Structure, Diversity, and Pandemic Service Cuts in Vulnerable Communities. International Conference on Urban Affairs. New York, NY. April 2024
Voulgaris, C.T., L.A. Fischer, R.S. Ray. 2024. Transit Board Structure, Diversity, and Pandemic Service Cuts in Vulnerable Communities. Transportation Research Board 7th International Conference on Women and Gender in Transportation. Irvine, CA. September 2024
ViBE Lab Principal Investigator
- Carole Voulgaris
Collaborators beyond the ViBE Lab
- Lauren Ames Fischer, University of North Texas
- Rosalie Singerman Ray, Texas State University
ViBE Lab Researchers
- Lindsay Crockett (MUP ‘25)
- Melissa Berlin (MUP ‘25)
- Aubrey Sanders (MUP ‘25)
- Lucas Flint (MUP ‘25)
- Allen Wang (MDes ‘25)
- Sulaya Ranjit (MUP ‘25)
- Kati Wiese (MUP ‘25)
- Avny Lavasa (MUP ‘25)
- Isabella Tice (MUP ‘25)